| Contents [0/56] |
(Click here for one slide per page)
| Are You In The Right Room? [1/56] |
Course: CSC301 (Data Structures II)
Instructor: James Riely
| Overview of Today's Class [2/56] |
| Admin: Course Overview [3/56] |
This is the second course in a two-course sequence on data structures using Java. The course focuses mainly on the following data structures, their analysis, and their applications: trees (search trees, balanced search trees), heaps, associative arrays, hash tables, and data structures for representing graphs. The implementation of the basic operations on each data structure are discussed and analyzed in terms of their efficiency. The applications discussed highlight and exploit the unique characteristics of the different data structures, and emphasize problem solving and recursive thinking.
From
Wired Magazine: Code is far from a utilitarian means to
an end. Like painting or sculpting, it's a medium with which you
can create something. And as such, code can take many forms:
beautiful or ugly, elegant or clunky.
| Admin: Course Objectives [4/56] |
Plus
| Admin: Prerequisites [5/56] |
CSC300/402 C- or better.
| Admin: Policies [6/56] |
You must attend class!
Incomplete Grades
An incomplete grade is defined in the Student Handbook as follows (note that the policy in the undergraduate student handbook applies to both undergraduate and graduate students): A temporary grade indicating that the student has a satisfactory record in work completed, but for unusual or unforeseeable circumstances not encountered by other students in the class and acceptable to the instructor is prevented from completing the course requirements by the end of the term. Please see http://www.cdm.depaul.edu/Current%20Students/Pages/Grading-Policies.aspx for additional information.
Retro-Active Withdrawal
CDM understands certain extenuating circumstances can hinder one's ability for academic success and completion of course work. Please see http://www.cdm.depaul.edu/Current%20Students/Pages/Enrollment-Policies.aspx for additional information.
Absence Notifications
In order to petition for an excused absence, students who miss class due to illness or significant personal circumstances should complete the Absence Notification process through the Dean of Students office. The form can be accessed at http://studentaffairs.depaul.edu/dos/forms.html. Students must submit supporting documentation alongside the form. The professor reserves the sole right whether to offer an excused absence and/or academic accommodations for an excused absence.
| Admin: Discussion Forum [7/56] |
You must subscribe to the course discussion forum on google groups. Do it as soon as possible.
http://groups.google.com/group/csc301winter2018
Replyrather than
Reply All.
thank youmessages to the group.
The discussion forum is an extension our time in class. This is particularly great for students that miss the live lecture. If you are watching the class online, you should write down any questions that arise, including the time from the recording for reference. Then send the list of questions to me, and I will post a reply to the group.
I will also use Teamviewer for communication. With teamviewer, you can show me your computer screen while we talk over the phone.
| Admin: Assessment [8/56] |
Grades will be determined as follows.
You must pass the final exam in order to pass the course.
DePaul's academic integrity policy
For in class students: Participation will consist of me calling on students in class. If you are not here or don't hear, then you will lose participation credit.
| Admin: Course Homepage [9/56] |
Course homepage: http://fpl.cs.depaul.edu/jriely/ds2/
| Admin: Textbooks [10/56] |
If you are delayed in getting the texts, you can view them online via Safari.
Required Books
Core Java SE 9 for the Impatient, 2nd Edition [Amazon, Indiebound]
by Cay Horstmann (Addison-Wesley, 2017)
Available as Ebook
Available online via Safari
Older edition is fine.
Algorithms 4e [Amazon, Indiebound]
by Robert Sedgewick and Kevin Wayne (Addison-Wesley, 2011)
Available as Ebook
Available online via Safari
Do not get an older edition. They are completely different books.
Recommended Books
Schaum's Outline of Data Structures with Java 2e [Amazon, Indiebound]
by John Hubbard (Schuams, 2009)
This book is a good source of example problems with solutions.
Available as Ebook
More books
Algorithms 4e (with videos) [Amazon, Indiebound]
by Robert Sedgewick and Kevin Wayne (Addison-Wesley, 2011)
Available as Ebook
How to Think Like a Computer Scientist
by Allen B. Downey.
Free!
An good introduction to Java.
Skip the GridWorld chapters, which are intended to help with the AP exam in CS.
See also these lecture notes from MIT. The first three lectures are particularly useful.
by Brad Miller.
Free!
See also here.
Introduction to Programming in Java (Chapter 1)
by Robert Sedgewick and Kevin Wayne
Free!
This is the first chapter of the introductory text written by the authors of our primary textbook.
It presents the same material as section 1.1 of the primary text, but at a slower pace.
Effective Java 2e [Amazon, Indiebound]
by Joshua Bloch (Addison-Wesley, 2008)
Available as Ebook
Available online via Safari
The algorithms text describes all of the Java that is required for the class. The discussion is terse, making it an excellent reference. If you would like a longer discussion of Java, you might want a supplementary text. In this case, you might consider one of the following.
| Admin: Expectations [11/56] |
We will discuss concepts in class.
You will have weekly programming assignments.
Getting the homework correct is not enough. The first time you solve something it could take days, and may require help. Once you get a solution, you are not done.
From
the Chronicle of Higher Education: People often
mistake familiarity for understanding. They open the textbook after
getting home from a lecture, and they recognize the material. They
think: I get this. Then they take a test -- and bomb it.
I do not give out solutions to homework problems.
How to succeed:
| Admin: Install Graphviz [12/56] |
This step is only necessary to draw the pictures that I show in class.
On windows, download and install Graphviz
from here:
Graphviz
On the mac, you need to install
Homebrew
Once you have homebrew, just enter the following commands on the Terminal:
brew update brew install graphviz
| Admin: Install code for this class [13/56] |
Quick links:
Step-by-step:Create a folder structure for course materials
For example, you might use:
C:\Users\myname\Documents\DataStructures
Download the zip file for the class: Code examples ZIP
Unzip the file into the folder for class.
This should create a folder called eclipse-workspace.
The eclipse-workspace folder should contain algs4.
The algs4 folder should contain data, lib, src, and maybe some other things.
Verify that the folder hierarchy looks like this:
C:\Users\myname\Documents\DataStructures\eclipse-workspace C:\Users\myname\Documents\DataStructures\eclipse-workspace\algs4 C:\Users\myname\Documents\DataStructures\eclipse-workspace\algs4\data C:\Users\myname\Documents\DataStructures\eclipse-workspace\algs4\lib C:\Users\myname\Documents\DataStructures\eclipse-workspace\algs4\src
On my machine, I have the following:
| Admin: Install Java 11 [14/56] |
We will use Java 11. It is easiest to use eclipse if you remove any other versions of Java from your machine.
/Library/Java/JavaVirtualMachines/You can download Java 11 from Amazon or adoptOpenJDK
JDK stands for Java Development Kit
.
| Admin: Install Eclipse [15/56] |
Install the Eclipse IDE for Java Developers
from here:
Eclipse Downloads
Get the most recent version.
You should get Eclipse IDE for Java Developers
.
The main difference between versions is the number of
packages that come pre-installed. This is the
smallest version that has everything we need.
| Admin: Start eclipse in the eclipse-workspace you downloaded before [16/56] |
There is a video walking through these steps on windows: Algs4 workspace movie
Make sure that you have downloaded the code for the class, as instructed before.
Verify that the folder hierarchy looks like this:
C:\Users\myname\Documents\DataStructures\eclipse-workspace C:\Users\myname\Documents\DataStructures\eclipse-workspace\algs4 C:\Users\myname\Documents\DataStructures\eclipse-workspace\algs4\data C:\Users\myname\Documents\DataStructures\eclipse-workspace\algs4\lib C:\Users\myname\Documents\DataStructures\eclipse-workspace\algs4\src
On my machine, I have the following:
Start eclipse. When it prompts you for a eclipse-workspace, select your eclipse-workspace folder.
C:\Users\myname\Documents\DataStructures\eclipse-workspace
DO NOT SELECT THE algs4 FOLDER!
In eclipse, navigate to
File > New > Java Project
In project name
type algs4. and then click the finish
button
| Admin: Disable some warnings [17/56] |
Disable warnings for unnecessary code. LEAVE ALL OTHER WARNINGS AT THEIR DEFAULT VALUES.
On windows, the "Preferences" option is under
"Window" instead of "Eclipse"
Go to "Eclipse/Window" > "Preferences" > "Java" > "Compiler" > "Errors/Warnings" > "Unnecessary code"
Set the following to "Ignore"
"Value of local variable is not used"
"Unused private member"
| Admin: Downloading homework [18/56] |
Download the appropriate file from the Submission tab of D2L. Use control-click on mac, right-click on windows to download the file.
Use drag-and-drop to add the file to eclipse into the correct package.
If drag and drop are not working, try the following:
eclipse-workspace\algs4\src\algs11.
Make sure there are .java files there, not .class files.
File
menu and select Refresh.
| Admin: Uploading homework [19/56] |
After you have completed the assignment, save your work in eclipse and use drag-and-drop to upload the file to D2L.
If drag-and-drop does not work, you can use an alternative method, shown below.
Be very careful to upload a .java file from the src directory.
Do not upload a .class file from the bin directory.
| Admin: Installation problems? [20/56] |
If you have errors after installing eclipse and the code from class, please watch this: Eclipse problems
Uninstall everything and try again.
If that does not work, email me ASAP. Don't waste time trying to fix a broken eclipse install.
eclipse is messed up.
| Admin: What to do if you get errors on the format function [21/56] |
You may get a compiler error message like this:
The method format(String, Object[]) in the type StdOut is not applicable for the arguments (String, String) The method format(String, Object[]) in the type StdOut is not applicable for the arguments (String, String, int, int)
Make sure that you are using Java 11
| Admin: What to do you have lots of red marks in Eclipse [22/56] |
Suppose you had eclipse working and then one day, eclipse looks like this:
Try
"Project" > "Clean..." > "Clean all projects"
If that does not work, try creating a fresh eclipse-workspace.
eclipse-workspace.oldworkspace and create a new folder called eclipse-workspaceeclipse-workspace, create a new folder called algs4oldworkspace/algs4
to eclipse-workspace/algs4
data lib src
The above works by copying the good files to a new eclipse-workspace. You can also try the following approach, which removes the problemantic files from the exiting eclipse-workspace instead.
Exit eclipse
Using the finder or terminal, remove the following files/directories:
eclipse-workspace/.metadataeclipse-workspace/algs4/.classpatheclipse-workspace/algs4/.projectIf you are using finder on a mac, you may need to make these files visible. Run Terminal and enter the following two commands:
defaults write com.apple.finder AppleShowAllFiles TRUE killall Finder
To switch back, do the same but substitute FALSE for TRUE.
Restart eclipse. You should have a blank eclipse-workspace.
Follow the previous instructions to show the
algs4 project, by following the previous instructions
to install the code from class, starting with File > New >
Java Project
If that does not work ensure that you have the correct version of Java installed.
Project -> Properties -> Java build path Project -> Properties -> Java compiler
Preferences -> Java -> Compiler Preferences -> Java -> Installed JREs
| Admin: How to add a JRE [23/56] |
Eclipse will only include JREs that were present before it started in a given eclipse-workspace. If you add a JRE later, the easiest thing to do is to recreate the eclipse-workspace from scratch. See the instructions on the previous slide.
You can also add a JRE after the fact, following these instructions:
| Admin: What to do if you cannot see package explorer in Eclipse [24/56] |
To show the package explorer, do this:
Once it is showing, you can adjust the view using the buttons:
| Admin: Run problems? [25/56] |
You may get this Run As
box in eclipse, like this:
Or this:
First, make sure that you are running the code from the correct package in the src folder. Go back to the installation instructions for the code from class and make sure that the package explorer looks correct. If not, re-do the installation of the code from class, and start over.
If the package explorer looks okay, then try selecting the program you want to run in the package explorer and using a right click to bring up a context menu. You can select run from there:
The run button is context sensitive in eclipse. It's behavior varies depending upon where the mouse was last clicked and what the last command to be run was. This problem usually sorts itself out. So try the run button again later.
| Admin: How to talk about code via email [26/56] |
If you want advice about an error, send me email, doing one of the following.
Include a screenshot showing the error.
Copy and paste the EXACT TEXT of the error into your email message.
If you have a problem getting a program to work and you want me to look at some of your code in more detail, send me email with the following three things.
Your java file as an attachment.
A description of how the output of the program is different from what you expected.
The output of your program, if it runs.
| Admin: About the code from the textbook [27/56] |
The textbook code is written to run from the command line. We will not do this. Instead, we will edit the code in eclipse to provide the following, when necessary:
If the text runs the program:
java Program arg1 arg2 < input.txt > /tmp/output.txt
We will add the following lines to the "main" method of our java program:
public static void main(String[] args) {
args = new String[] { "arg1", "agrg2" };
StdIn.fromFile ("data/input.txt")
StdOut.toFile ("/tmp/output.txt")
...
| Homework [28/56] |
Look on D2L for quiz to complete.
Look on D2L for homework to hand in.
For Monday (due by 2:00pm):
Download algs32.MyIntSET from the dropbox on d2l.
Add the function printLeftI that we discussed
today in class and reupload.
You may add functions, but you must not remove or edit the name or signature of any function given in the file. Your code MUST COMPILE WITHOUT ERRORS. Code with compilation errors earns 0 points.
To put the skeleton files in eclipse, do the following.
Download the .java attachments from d2l.
Dropboxin the menubar towards the top of the page, underneath the course title.
Using the finder, drag the .java into the
algs32 package inside your
eclipse workspace.
After you have completed the assignment, upload your
completed .java file to the d2l dropbox.
Dropboxin the menubar towards the top of the page, underneath the course title.
.java file from the eclipse
package explorer onto the space on d2l.
Do not submit anything else. I will give zero credit
for .class files. I will also give zero
credit for any .txt/.zip.rar. Hand in a
uncompressed .java source code file.
There will be no credit for code that has compilation errors (red marks in eclipse).
For next wednesday (by 2:00pm):
Complete the size function in
algs32.MyIntSET and reupload.
You may add functions, but you must not remove or edit the name or signature of any function given in the file. Your code MUST COMPILE WITHOUT ERRORS. Code with compilation errors earns 0 points.
Skim Algorithms 3.1, 3.5
Read Algorithms 3.2
Check out the booksite. Read the summary of section 3.1 online before you read the textbook.
Check out the authors' coursesite for COS226 at Princeton. Find their lecture notes, homework assignments and old exams.
(The authors of the textbook also run classes on Coursera)
| Review Homework [29/56] |
Read this intro to elipse from IBM: Getting Started
Skim chapters 1-3 and 5-6 of Core Java for the Impatient.
Alternatively, you can renew your programming skilz using this java text: How to Think Like a Computer Scientist
In particular, read about
Carefully read the following chapters
| Trees: Terminology [30/56] |
A root is a node with no ancestors.
A leaf is a node with no descendants.
Note that in a singleton tree (tree with one node), the root is also a leaf.
The size of a node is the number descendants (including itself).
A leaf node will have a size of 1.
The size of a tree is the size of its root. Empty tree has size of 0.
The height of a node is the number of edges on the longest path from the node to a leaf.
A leaf node will have a height of 0.
The height of tree is the height of its root. Empty tree has height of -1.
The depth of a node is the number of edges from the tree's root to the node.
A root node will have a depth of 0.
The depth of a tree is the same as it's height.
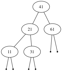
| Trees: Traversals [31/56] |
Level-order: 41 21 61 11 31
In-order: (11 21 31) 41 61
Pre-order: 41 (21 11 31) 61
Post-order: (11 31 21) 61 41
Note: Parentheses are included only for clarity.
| Tree code: While loop going left [32/56] |
public int sizeLeft () { Node x = root; int sz = 0; while (x != null) { x = x.left; sz = sz + 1; } return sz; }
While loop going left.
Here is a trace of an execution.
Back to the size problem. Here is starter code which computes the size of the leftmost branch in the tree.
| Tree code: Recursion going left [33/56] |
public int sizeLeft () { return sizeLeft (root, 0); } private static int sizeLeft (Node x, int sz) { if (x != null) { sz = sizeLeft (x.left, sz + 1); } return sz; }
Recursion going left
Here is a trace of an execution.
| Tree code: Recursion going left and right [34/56] |
public int size () { return size (root, 0); } private static int size (Node x, int sz) { if (x != null) { sz = size (x.left, sz + 1); sz = size (x.right, sz + 1); } return sz; }
Recursion going left and right. Now computing the size of the tree.
Is this correct?
Here is a trace of an execution.
| Tree code: Recursion going left and right [35/56] |
public int size () { return size (root, 0); } private static int size (Node x, int sz) { if (x != null) { sz = sz + 1; sz = size (x.left, sz); sz = size (x.right, sz); } return sz; }
Add in only once.
Here is a trace of an execution.
What is the initial value of sz at each node as we go
around the tree?
| Tree code: Recursion going left and right [36/56] |
public int size () { return size (root, 0); } private static int size (Node x, int sz) { if (x != null) { sz = sz + 1; sz = size (x.left, sz); sz = size (x.right, sz); } return sz; }
Computation of the size happens as we go forward, in a preorder traversal.
Initial value of sz at each node is the number of
nodes that precede this one in a preorder traversal.
The initial value of sz does not include the node
x.
Final value of sz is the initial value plus the size
of the tree rooted at x:
size (x, sz) returns
size (x) + sz
| Tree code: Base case first (negating the conditional) [37/56] |
public int size () { return size (root, 0); } private static int size (Node x, int sz) { if (x == null) return sz; sz = sz + 1; sz = size (x.left, sz); sz = size (x.right, sz); return sz; }
Base case first (negating the conditional)
This is more idiomatic for recursive functions.
| Tree code: Is this correct? [38/56] |
public int size () { return size (root, 0); } private static int size (Node x, int sz) { if (x == null) return sz; sz += 1; sz += size (x.left, sz); sz += size (x.right, sz); return sz; }
Is this correct?
| Tree code: Is this correct? [39/56] |
public int size () { return size (root, 0); } private static int size (Node x, int sz) { if (x == null) return sz; sz += 1; sz += size (x.left, sz); sz += size (x.right, sz); return sz; }
Is this correct?
No. size (x, sz) returns
size (x) + sz, so this is
adding it twice.
Here is a trace of an execution.
| Tree code: Is this correct? [40/56] |
public int size () { return size (root, 0); } private static int size (Node x, int sz) { if (x == null) return sz; sz = sz + 1; size (x.left, sz); size (x.right, sz); return sz; }
Is this correct?
| Tree code: Is this correct? [41/56] |
public int size () { return size (root, 0); } private static int size (Node x, int sz) { if (x == null) return sz; sz = sz + 1; size (x.left, sz); size (x.right, sz); return sz; }
Is this correct?
No. Mistake here is to think of sz as shared among
the function calls.
Here is a trace of an execution.
| Tree code: Back to sanity! [42/56] |
public int size () { return size (root, 0); } private static int size (Node x, int sz) { if (x == null) return sz; sz = size (x.left, sz); sz = size (x.right, sz); sz += 1; return sz; }
Threaded parameter: correct version, doing the addition postorder.
What are the initial values of sz as you go around the tree?
| Tree code: Make right call independent of the left [43/56] |
public int size () { return size (root, 0); } private static int size (Node x, int sz) { if (x == null) return sz; sz = size (x.left, 0); sz += size (x.right, 0); sz += 1; return sz; }
Make it so that the right does not know about the left!
Change so that size returns just the size of x, rather
than size of x plus sz
Intial value of sz is always 0
| Tree code: Don't need the sz parameter! [44/56] |
public int size () { return size (root); } private static int size (Node x) { if (x == null) return 0; int sz = 0; sz += 1; sz += size (x.left); sz += size (x.right); return sz; }
Don't need the sz parameter!
Node x is counted postorder, as we return.
This is true regardless of where we put sz += 1, since
the intermediate values are not passed around.
| Tree code: Local variables don't matter [45/56] |
public int size () { return size (root); } private static int size (Node x) { if (x == null) return 0; int szl = size (x.left); int szr = size (x.right); return szl + szr + 1; }
Local variables don't matter.
Here is a trace of an execution.
This is static single assignment (SSA) form: each variable is assigned on exactly one line of code.
Most compilers translate your code into SSA as part of the compilation process.
In SSA, the right-hand-side of the assignment may be restricted to be either a single function call or a single operator. In this case, the last line would be translated to:
int tmp1 = szl + szr; int tmp2 = tmp1 + 1; return tmp2;
| Tree code: Local variables don't matter [46/56] |
public int size () { return size (root); } private static int size (Node x) { if (x == null) return 0; return size (x.left) + size (x.right) + 1; }
From a compiler point of view, this code is identical to the previous version, since this will be translated into SSA.
| Tree code: Nullable [47/56] |
public int size () { return size (root); } private static int size (Node x) { if (x == null) return 0; int sz = 1; sz += size (x.left); sz += size (x.right); return sz; }
Back to the version with one variable.
Note that it does not matter when we add 1 to sz,
since we don't carry the intermediate values around as parameters.
In this code, we make the call, then check for null.
The variable x is nullable (may be assigned null)
Lets call this the nullable
version.
We might also call it optimistic
, or Just do it!
| Tree code: Non-nullable [48/56] |
public int size () { if (root == null) return 0; return size (root); } private static int size (Node x) { int sz = 1; if (x.left != null) sz += size (x.left); if (x.right != null) sz += size (x.right); return sz; }
In this code, we check for null, then make the call.
The variable x is non-nullable (must not be assigned null)
Lets call this the non-nullable
version.
We might also call this cautious
, or Look before you leap!
| Tree code: The winner is... [49/56] |
public int size () { return size (root); } private int size (Node x) { if (x == null) return 0; int sz = 1; sz += size (x.left); sz += size (x.right); return sz; } |
public int size () { if (root == null) return 0; return size (root); } private int size (Node x) { int sz = 1; if (x.left != null) sz += size (x.left); if (x.right != null) sz += size (x.right); return sz; } |
What are the advantages of each approach?
In general, which should you prefer?
Nullable has one static conditional (if
statement). Non-nullable has three!
However, we have exactly the same number of dynamic
conditionals (executions of the if statement).
Nullable has about twice as many dynamic function calls! Count them!
| Tree code: The winner is... [50/56] |
public int size () { return size (root); } private int size (Node x) { if (x == null) return 0; int sz = 1; sz += size (x.left); sz += size (x.right); return sz; } |
public int size () { if (root == null) return 0; return size (root); } private int size (Node x) { int sz = 1; if (x.left != null) sz += size (x.left); if (x.right != null) sz += size (x.right); return sz; } |
nullable
version has less redundancy. Easier to maintain. Full of win.
non-nullable
version is also known as Too many base cases!
.
Only prefer performance over maintainability if you have determined that the performance is an actual problem and you have done profiling to determine the actual location of the problem.
One of the trickiest things for Java programmers is to keep track of when a variable is nullable.
Recent languages such as
swift
and
kotlin
distinguish nullable and non-nullable types. In these languages, a
variable that may be null must be given a type that ends in a
question mark. (In swift, null is written
nil, or equivalently as Optional.none.)
In these languages, we would give different types to the argument
in the helper function above. For the nullable version, x
would be given type Node? whereas for the non-nullable
version, it would be given type Node.
| Tree code: Negligent! [51/56] |
public int size () { return size (root); } private static int size (Node x) { int sz = 1; if (x.left != null) sz += size (x.left); if (x.right != null) sz += size (x.right); return sz; }
What's wrong with this code?
| Tree code: Paranoid! [52/56] |
public int size () { if (root == null) return 0; return size (root); } private static int size (Node x) { if (x == null) return 0; int sz = 1; if (x.left != null) sz += size (x.left); if (x.right != null) sz += size (x.right); return sz; }
What's wrong with this code?
| Tree code: Returns too quickly! [53/56] |
public int size () { if (root == null) return 0; return size (root); } private static int size (Node x) { if (x.left != null) return 1 + size (x.left); if (x.right != null) return 1 + size (x.right); return 1; }
What's wrong with this code?
| Tree code: Threaded parameter with non-nullable pointer 0 [54/56] |
public int size () { if (root == null) return 0; return size (root, 0); } private static int size (Node x, int sz) { sz = sz + 1; if (x.left != null) sz = size (x.left, sz); if (x.right != null) sz = size (x.right, sz); return sz; }
Threaded parameter with non-nullable pointer.
| Tree code: Threaded parameter with non-nullable pointer 1 [55/56] |
public int size () { if (root == null) return 0; return size (root, 1); } private static int size (Node x, int sz) { if (x.left != null) sz = size (x.left, sz + 1); if (x.right != null) sz = size (x.right, sz + 1); return sz; }
Describe the difference from the previous version.
Is it correct?
What's the invariant as we go through the tree?
| Tree code: Deriving non-nullable code from a loop [56/56] |
public int size () { if (root == null) return 0; return size (root, 1); } private static int size (Node x, int sz) { if (x.left != null) sz = size (x.left, sz + 1); if (x.right != null) sz = size (x.right, sz + 1); return sz; }
This is what you get if you start with a variant of the loop sizeLeft.
Recall the original code. Here, you count the node referenced by x.
public int sizeLeft () { Node x = root; int sz = 0; while (x != null) { x = x.left; sz = sz + 1; } return sz; }
In the following variant, we assume that x is already taken care
of, and you work on x.left instead.
public int sizeLeft () { if (root == null) return 0; Node x = root; int sz = 1; while (x.left != null) { x = x.left; sz = sz + 1; } return sz; }
Note that x is non-nullable.
It hangs back
one place.
Going recursive.
public int sizeLeft () { if (root == null) return 0; return sizeLeft (root, 1); } private static int sizeLeft (Node x, int sz) { if (x.left != null) { sz = sizeLeft (x.left, sz + 1); } return sz; }
Left and right.
public int size () { if (root == null) return 0; return size (root, 1); } private static int size (Node x, int sz) { if (x.left != null) sz = size (x.left, sz + 1); if (x.right != null) sz = size (x.right, sz + 1); return sz; }
Revised: 2024-01-17 17:18